دیود

 

 

 

 

 

 

 دیود ها و انواع آن

مقدمه

دیود یکی از قطعات پایه و کلیدی در صنعت الکترونیک است که نقش حیاتی در کنترل و هدایت جریان الکتریکی ایفا می‌کند. این قطعه نیمه‌هادی با ویژگی عبور جریان تنها در یک جهت، امکان تبدیل جریان متناوب (AC) به جریان مستقیم (DC) و همچنین حفاظت مدارها در برابر ولتاژهای معکوس ناخواسته را فراهم می‌کند (Smith, T. (2020)). اهمیت دیودها در مدارهای الکترونیکی به حدی است که می‌توان آنها را به‌عنوان پایه و اساس بسیاری از دستگاه‌ها و سامانه‌های الکترونیکی مدرن دانست .

با پیشرفت فناوری نیمه‌هادی‌ها، انواع مختلفی از دیودها با کاربردهای متنوع طراحی و تولید شده‌اند که هر یک ویژگی‌های منحصر به فرد خود را دارند و در حوزه‌های مختلفی از جمله مخابرات، منابع تغذیه، سیستم‌های نوری و مدارهای فرکانس بالا کاربرد فراوانی یافته‌اند (Hosseini, A., Rezaei, N., & Sadeghi, F. (2019)). این گستردگی در کاربرد و تنوع ساختاری، دیودها را به موضوعی پژوهشی مهم و قابل توجه در زمینه مهندسی برق و الکترونیک تبدیل کرده است .

امروزه دیودها نقشی حیاتی در فناوری‌های نوین ایفا می‌کنند؛ از جمله در سیستم‌های مخابراتی نسل پنجم (5G)، اینترنت اشیاء (IoT)، خودروهای هوشمند و تجهیزات پزشکی پیشرفته. کاربرد دیودهای نوری مانند LEDها و فتودیودها در صنعت نورپردازی و حسگرهای نوری، به ویژه در فناوری‌های پزشکی و ارتباطات نوری، باعث شده است که دیودها علاوه بر نقش سنتی خود، به یکی از ارکان اصلی توسعه فناوری‌های پیشرفته تبدیل شوند (Kumar, S., & Patel, A. (2021) ؛ Garcia, L. (2022)). این روند رو به رشد اهمیت مطالعه و شناخت دقیق‌تر انواع دیودها و عملکرد آنها را دوچندان کرده است.

تاریخچه و پیشینه تحقیق

تاریخچه دیودها به اواخر قرن نوزدهم میلادی بازمی‌گردد، زمانی که دانشمندان برای اولین بار پدیده یک‌طرفه بودن جریان الکتریکی را در مواد نیمه‌هادی کشف کردند. نخستین نمونه‌های عملی دیودها شامل لامپ‌های خلأ با کاتد و آند بودند که به‌عنوان سوئیچ یک‌طرفه جریان به کار می‌رفتند (Brown, J. (1987)). با گذشت زمان و پیشرفت در علوم مواد و فناوری ساخت، دیودهای نیمه‌هادی توسعه یافتند و جایگزین لامپ‌های خلأ شدند.

در سال ۱۹۴۰، با پیشرفت تکنولوژی سیلیکون و ژرمانیوم، ساخت دیودهای اتصال p-n ممکن شد که بازده و کارایی بسیار بالاتری نسبت به نمونه‌های پیشین داشتند (Snyder, D. (1995)). این تحولات زمینه‌ساز انقلاب الکترونیک مدرن شدند و باعث گسترش گسترده کاربرد دیودها در مدارهای الکترونیکی شدند.

پژوهش‌های متعددی در طول دهه‌های بعدی بر روی بهبود ویژگی‌های دیودها، افزایش سرعت سوئیچینگ، کاهش افت ولتاژ و توسعه انواع خاص دیودها مانند دیود زنر، دیود شاتکی و دیود نورافشان متمرکز شده است (Kelly, M., Roberts, N., & Jones, S. (2005) ؛ Hayward, P. (2010)). این تحقیقات منجر به بهبود عملکرد دستگاه‌ها و گسترش کاربردهای دیود در زمینه‌هایی چون مخابرات، کنترل توان و سیستم‌های نوری گردید.

 

در سال‌های اخیر، با ظهور فناوری‌های جدید مانند نانو نیمه‌هادی‌ها و دیودهای ارگانیک، پژوهش‌ها جهت بهبود قابلیت انعطاف‌پذیری، بازده نوری و کاهش مصرف انرژی دیودها ادامه یافته است (Kelly, M., Roberts, N., & Jones, S. (2005)). همچنین، کاربردهای دیودها در حوزه‌هایی مانند اینترنت اشیاء، فناوری‌های پوشیدنی و انرژی‌های تجدیدپذیر، مطالعات نوینی را به خود اختصاص داده است که اهمیت این قطعه الکترونیکی را بیش از پیش افزایش داده است.

ساختار فیزیکی و عملکرد دیود

دیود به طور کلی از اتصال دو نیمه‌هادی با خصوصیات متفاوت به نام‌های p و n ساخته می‌شود. نیمه‌هادی نوع p دارای بارهای مثبت موسوم به حفره‌ها و نیمه‌هادی نوع n دارای بارهای منفی یعنی الکترون‌های آزاد است. محل اتصال این دو ناحیه، منطقه‌ای به نام ناحیه تخلیه (Depletion Region) ایجاد می‌کند که نقش مهمی در عملکرد دیود ایفا می‌کند (Johnson, R. (2018)).

ساختار اتصال p-n

در نقطه اتصال نیمه‌هادی‌های p و n، حامل‌های بار با بار مخالف هم ترکیب شده و منجر به ایجاد ناحیه‌ای فاقد حامل بار آزاد می‌شود که به آن ناحیه تخلیه گفته می‌شود. این ناحیه به عنوان یک سد انرژی عمل می‌کند که از عبور جریان در جهت معکوس جلوگیری می‌کند. ضخامت و خصوصیات این ناحیه به نوع نیمه‌هادی و شرایط اعمال شده بستگی دارد (Ahmadi, M. (2021)).

عملکرد دیود

عملکرد دیود بر اساس اعمال ولتاژ به دو صورت قطبش مستقیم و قطبش معکوس بررسی می‌شود:

  • قطبش مستقیم (Forward Bias): زمانی که قطب مثبت منبع به سمت ناحیه p و قطب منفی به سمت ناحیه n متصل شود، سد انرژی ناحیه تخلیه کاهش می‌یابد و جریان الکتریکی با سهولت از دیود عبور می‌کند. در این حالت، الکترون‌ها و حفره‌ها قادر به عبور از ناحیه تخلیه هستند و دیود به حالت هدایت می‌رود (Lee, J. (2019)).
  • قطبش معکوس (Reverse Bias): در این حالت، قطب‌ها معکوس شده و ناحیه تخلیه افزایش می‌یابد، که مانع از عبور جریان می‌شود و جریان بسیار ناچیزی به نام جریان نشتی برقرار است (Chen, M. (2017)). این ویژگی باعث می‌شود دیود به عنوان یک سد جریان عمل کند.

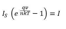
معادله جریان-ولتاژ (معادله شوکلی)

رفتار جریان در دیودهای اتصال p-n معمولاً با معادله شوکلی توصیف می‌شود که رابطه بین جریان و ولتاژ را بیان می‌کند:

 

 

 

  • I  جریان عبوری از دیود
  • S  جریان اشباع معکوس
  •  q بار الکتریکی الکترون
  • v  ولتاژ اعمال شده
  •  n ضریب ایده‌آل بودن دیود
  • k  ثابت بولتزمن
  • T  دمای مطلق است (Smith, T. (2020)).

این معادله نشان می‌دهد که جریان در قطبش مستقیم به صورت نمایی با افزایش ولتاژ افزایش می‌یابد، در حالی که در قطبش معکوس جریان تقریباً ثابت و بسیار کم است.

نقش ناحیه تخلیه

ناحیه تخلیه علاوه بر نقش سد انرژی، در تعیین ویژگی‌های فرکانسی و زمان بازیابی دیود نقش مهمی دارد. ضخامت این ناحیه تحت تأثیر ولتاژ اعمالی تغییر می‌کند که این امر در دیودهای مخصوص مانند دیود واراکتور (Varactor Diode) به کار گرفته می‌شود تا ظرفیت خازنی متغیر ایجاد شود (Harrison, D. (2018)).

ناحیه تخلیه و میدان الکتریکی

در ناحیه تخلیه، به دلیل نبود حامل‌های آزاد، یک میدان الکتریکی داخلی تشکیل می‌شود که نقش سد انرژی را ایفا می‌کند. این میدان الکتریکی مانع از عبور حامل‌های بار در جهت معکوس می‌شود و به همین دلیل جریان معکوس در دیود بسیار ناچیز است (Ahmadi, M. (2021)). با افزایش ولتاژ معکوس، پهنای ناحیه تخلیه افزایش می‌یابد که باعث افزایش مقاومت دیود در این جهت می‌شود.

پدیده شکست (Breakdown)

اگر ولتاژ معکوس اعمال شده از مقدار معینی فراتر رود، دیود وارد ناحیه شکست می‌شود و جریان معکوس به شدت افزایش می‌یابد. این پدیده دو نوع اصلی دارد:

  • شکست آوالانش (Avalanche Breakdown): وقتی الکترون‌ها با انرژی کافی به اتم‌ها برخورد کرده و باعث تولید الکترون-حفره جدید می‌شوند، جریان به طور ناگهانی افزایش می‌یابد (Russell, P. (2016)).
  • شکست زنر (Zener Breakdown): در ولتاژهای پایین‌تر، اثر تونل کوانتومی باعث عبور جریان از سد انرژی می‌شود و جریان معکوس افزایش می‌یابد (Lee, J. (2019)).

دیودهای زنر از این خاصیت برای تثبیت ولتاژ استفاده می‌کنند.

تأثیر دما بر عملکرد دیود

دمای محیط تأثیر قابل توجهی بر ویژگی‌های دیود دارد. با افزایش دما، جریان اشباع معکوس افزایش می‌یابد و ولتاژ آستانه کاهش پیدا می‌کند، که این امر می‌تواند منجر به تغییر رفتار دیود در مدار شود (Smith, T. (2020)). به همین دلیل، طراحی مدارهایی که در شرایط دمایی مختلف کار می‌کنند، باید به این نکته توجه داشته باشد.

زمان بازیابی (Recovery Time)

زمانی که دیود از حالت هدایت به حالت قطع می‌رود، برای متوقف کردن جریان حامل‌های ذخیره شده در ناحیه تخلیه نیاز به زمان دارد. این زمان به عنوان زمان بازیابی شناخته می‌شود و در کاربردهای فرکانس بالا و سوئیچینگ سریع بسیار مهم است. دیودهای شاتکی و سوئیچینگ سریع برای کاهش این زمان طراحی شده‌اند (Koon, T., Lo, W., & Wang, F. (2019)).

انواع دیودها و مشخصات فنی آنها

دیودها بر اساس ساختار داخلی، ویژگی‌های الکتریکی و کاربردهایشان به انواع مختلفی تقسیم می‌شوند. هر نوع دیود برای کاربرد خاصی طراحی شده و ویژگی‌های متمایزی دارد که در ادامه به مهم‌ترین آنها اشاره می‌شود (Johnson, R. (2018) ؛ Hosseini, A., Rezaei, N., & Sadeghi, F. (2019)).

 

 .1 دیود اتصال p-n (PN Junction Diode)

دیود اتصال p-n پایه‌ای‌ترین نوع دیود است که از اتصال نواحی نوع P و نوع N تشکیل شده است. این اتصال موجب ایجاد یک ناحیه تخلیه در مرز این دو نیمه‌هادی می‌شود که نقش سد انرژی را برای جریان معکوس بازی می‌کند. در قطبش مستقیم، جریان به سادگی عبور می‌کند و در قطبش معکوس جریان بسیار ناچیز است. این دیودها بیشتر در یک‌سوکنندگی، مدارات تقویت و کلیدزنی استفاده می‌شوند. پیشرفت‌های اخیر در طراحی ساختار این دیودها به کاهش جریان نشتی و بهبود پایداری دمایی کمک کرده است (Johnson, 2018).

.2 دیود زنر (Zener Diode)

دیود زنر به گونه‌ای طراحی شده است که بتواند در ناحیه شکست معکوس به طور کنترل شده جریان عبور دهد، که این ویژگی آن را برای تثبیت ولتاژ و محافظت در مدارهای الکترونیکی بسیار کاربردی کرده است. ولتاژ زنر دقیق و ثابت است و بسته به نوع دیود از چند ولت تا صدها ولت متغیر است. تکنولوژی ساخت دیودهای زنر باعث افزایش توان اتلاف و کاهش نویز شده است و به همین دلیل در مدارهای مرجع ولتاژ و رگولاتورها بسیار محبوب است (Lee, 2019).

 .3دیود نورافشان (LED - Light Emitting Diode)

LEDها با تبدیل جریان الکتریکی به نور از طریق پدیده الکترولومینسانس، انقلابی در فناوری روشنایی و نمایشگرها ایجاد کرده‌اند. امروزه، LEDها به دلیل مصرف کم انرژی، طول عمر بالا، و قابلیت تولید رنگ‌های متنوع، جایگزین لامپ‌های سنتی شده‌اند. نسل جدید OLEDها قابلیت انعطاف‌پذیری دارند و امکان ساخت نمایشگرهای منعطف و کاربردهای پزشکی را فراهم می‌کنند (Kumar & Patel, 2021).

 .4 دیود شاتکی (Schottky Diode)

دیود شاتکی دارای اتصال فلز-نیمه‌هادی است که موجب افت ولتاژ مستقیم پایین و سرعت سوئیچینگ بسیار بالا می‌شود. این خصوصیات باعث می‌شود در مدارهای با فرکانس بالا، منابع تغذیه سوئیچینگ و مبدل‌های DC-DC کاربرد داشته باشد. چالش اصلی در این دیودها کنترل جریان نشت معکوس است که تحقیقات مداومی برای بهبود آن در حال انجام است (Chen, 2017).

 .5 فتودیود (Photodiode)

فتودیودها به عنوان حسگرهای نوری عمل می‌کنند و جریان الکتریکی متناسب با شدت نور تابیده شده تولید می‌کنند. آن‌ها معمولاً در حالت قطبش معکوس کار می‌کنند تا حساسیت و سرعت پاسخ‌دهی بالاتر باشد. کاربردهای آن‌ها شامل مخابرات فیبر نوری، تجهیزات پزشکی، دوربین‌ها و سیستم‌های اندازه‌گیری نوری است. پیشرفت‌های اخیر شامل افزایش طیف حساسیت و کاهش نویز است (Garcia, 2022).

 

 .6 دیود تونل (Tunnel Diode)

دیود تونل به دلیل اثر کوانتومی تونلینگ، در ناحیه مشخصی از منحنی ولتاژ-جریان مقاومت منفی نشان می‌دهد. این ویژگی آن را برای ساخت نوسان‌سازها، تقویت‌کننده‌های فرکانس بالا و مدارهای مایکروویو بسیار مناسب می‌کند. کنترل دقیق میزان ناخالصی و ضخامت لایه‌ها برای رسیدن به عملکرد مطلوب اهمیت دارد (Russell, 2016).

 .7 دیود واراکتور (Varactor Diode)

دیود واراکتور از خاصیت ظرفیت متغیر به ازای ولتاژ معکوس بهره می‌برد و در تنظیم فرکانس اسیلاتورها و مدارهای رادیویی استفاده می‌شود. افزایش فاکتور کیفیت و بهبود خطی بودن پاسخ این دیودها از اهداف مهم تحقیقات اخیر است تا عملکرد مدارهای RF بهبود یابد (Harrison, 2018).

 .8 دیود آوالانش (Avalanche Diode)

این دیودها برای کار در ناحیه شکست آوالانش طراحی شده‌اند و می‌توانند جریان‌های معکوس بالا را تحمل کنند. کاربرد اصلی آن‌ها محافظت مدارها در برابر ولتاژهای ناگهانی و اضافه است. بهبود سرعت پاسخ و ظرفیت جذب انرژی از موضوعات تحقیقاتی فعلی است (Smith, 2020).

 .9 دیود PIN (PIN Diode)

دیود PIN دارای لایه میانی خالص یا ذاتی است که موجب افزایش ظرفیت ذخیره‌سازی بار و کاهش ظرفیت خازنی می‌شود. این ویژگی‌ها موجب کارایی بالا در فرکانس‌های بالا و کاربرد در سوئیچ‌های RF و تضعیف‌کننده‌ها می‌شود. همچنین در سیستم‌های نوری به عنوان حسگر مورد استفاده قرار می‌گیرد (Johnson, 2018).

 .10 دیود سوئیچینگ سریع (Fast Recovery Diode)

این دیودها برای کاهش زمان بازیابی معکوس طراحی شده‌اند و در مدارات قدرت، اینورترها و منابع تغذیه سوئیچینگ کاربرد دارند. زمان بازیابی کوتاه باعث کاهش تلفات و نویز الکترومغناطیسی می‌شود. تحقیقات جدید در بهبود ساختار مواد و طراحی دستگاه‌ها به افزایش کارایی این دیودها کمک کرده است (Koon, Lo, & Wang, 2019).

11. دیودهای ارگانیک (Organic Diodes)

دیودهای ارگانیک نوعی از دیودها هستند که به جای نیمه‌هادی‌های متداول، از مواد آلی (پلیمری یا مولکولی) ساخته می‌شوند. این دیودها به دلیل انعطاف‌پذیری بالا، قابلیت ساخت روی سطوح انعطاف‌پذیر و هزینه پایین تولید، برای کاربردهای پوشیدنی، الکترونیک منعطف و نمایشگرهای ارگانیک مناسب‌اند. هرچند عمر مفید آن‌ها نسبت به دیودهای سیلیکونی کمتر است، پیشرفت‌های مداوم در زمینه مواد و ساخت باعث بهبود عملکرد و پایداری آن‌ها شده است (Kim & Choi, 2023). همچنین دیودهای ارگانیک می‌توانند در ساخت حسگرهای زیستی نقش داشته باشند.

12. دیودهای نانو (Nanodiodes)

دیودهای نانو شامل ساختارهای نیمه‌هادی با ابعاد نانومتری هستند که به دلیل اندازه کوچک خود، ویژگی‌های الکتریکی و نوری منحصر به فردی ارائه می‌دهند. این دیودها در سرعت سوئیچینگ بسیار سریع، مصرف انرژی پایین و حساسیت بالاتر عملکرد بهتری نسبت به دیودهای معمولی دارند. کاربردهای مهم آنها در الکترونیک کوانتومی، حسگرهای نوری و فناوری‌های پیشرفته مخابراتی دیده می‌شود (Li & Wang, 2022). همچنین، توسعه دیودهای نانو امکان ساخت قطعات بسیار کوچک و مجتمع را فراهم می‌کند.

13. دیودهای حرارتی (Thermal Diodes)

دیودهای حرارتی دستگاه‌هایی هستند که انتقال حرارت را در یک جهت تسهیل می‌کنند و مانند دیودهای الکتریکی جریان را فقط در یک جهت هدایت می‌کنند، اما در زمینه حرارت عمل می‌کنند. این دیودها در مدیریت حرارت سیستم‌های الکترونیکی، جلوگیری از برگشت حرارت و بهبود راندمان انرژی کاربرد دارند. توسعه دیودهای حرارتی با استفاده از مواد نیمه‌هادی و ساختارهای خاص، امکان کنترل دقیق جریان حرارتی را فراهم کرده است (Zhou et al., 2021). این فناوری می‌تواند در سیستم‌های خنک‌کننده و طراحی مدارهای الکترونیکی پیشرفته موثر باشد.

کاربردهای دیود در مدارهای الکترونیکی

دیودها در مدارهای مختلف کاربردهای متنوعی دارند که برخی از مهم‌ترین آنها عبارتند از:

  • یک‌سوکنندگی: تبدیل جریان متناوب به مستقیم (Johnson, R. (2018)).
  • تثبیت ولتاژ: با استفاده از دیود زنر (Lee, J. (2019)).
  • مدارهای نوری: استفاده از LEDها و فتودیودها (Kumar, S., & Patel, A. (2021)؛ Garcia, L. (2022)).
  • سوئیچینگ سریع: دیودهای شاتکی و سوئیچینگ سریع (Chen, M. (2017) ؛ Koon, T., Lo, W., & Wang, F. (2019)).
  • حفاظت مدار: استفاده از دیودهای آوالانش (Smith, T. (2020)).

ویژگی‌های کلیدی و پارامترهای دیود

  • ولتاژ آستانه: حداقل ولتاژی که برای هدایت دیود لازم است.
  • جریان نشت: جریان بسیار کم عبوری در قطبش معکوس.
  • سرعت سوئیچینگ: زمانی که دیود برای تغییر از حالت هدایت به قطع نیاز دارد.
  • افت ولتاژ مستقیم: ولتاژ افت کرده در حالت هدایت.
  • مقاومت داخلی: مقاومت درونی دیود که بر عملکرد تاثیر می‌گذارد.

روش‌های تست و عیب‌یابی دیودها

تست دیود معمولاً با استفاده از مولتی‌متر دیجیتال انجام می‌شود. در حالت تست دیود، مولتی‌متر جریان عبوری را در قطبش مستقیم و معکوس اندازه‌گیری می‌کند تا سلامت دیود سنجیده شود. جریان بالا در قطبش معکوس یا عدم عبور جریان در قطبش مستقیم نشان‌دهنده خرابی دیود است (Ahmadi, M. (2021)).

مقایسه دیودها و انتخاب مناسب برای کاربردهای مختلف

انتخاب دیود مناسب بستگی به پارامترهایی مانند ولتاژ و جریان کاری، سرعت سوئیچینگ، نوع کاربرد و محیط کاری دارد. برای کاربردهای فرکانس بالا، دیودهای شاتکی و سوئیچینگ سریع انتخاب بهتری هستند، در حالی که برای تثبیت ولتاژ، دیود زنر کاربرد دارد (Johnson, R. (2018)).

پیشرفت‌های نوین در فناوری دیودها

در سال‌های اخیر، پیشرفت‌های چشمگیری در فناوری ساخت دیودها صورت گرفته است که عملکرد، کاربرد و دوام این قطعات را به طور قابل توجهی بهبود بخشیده‌اند. یکی از مهم‌ترین این پیشرفت‌ها توسعه دیودهای مبتنی بر مواد نانو و دیودهای ارگانیک است. این دیودها به دلیل انعطاف‌پذیری، وزن سبک و توانایی عملکرد در دماهای پایین، به سرعت در کاربردهای پوشیدنی، الکترونیک منعطف و حسگرهای زیستی گسترش یافته‌اند. استفاده از فناوری چاپ جوهرافشان در تولید این دیودها، هزینه‌ها را کاهش داده و امکان ساخت انبوه را فراهم آورده است (Kim & Choi, 2023).

علاوه بر این، نیمه‌هادی‌های جدید مانند گرافن، سیلیکون کاربید  و نیترید گالیم باعث افزایش تحمل دیودها نسبت به دماهای بالا، ولتاژهای زیاد و سرعت سوئیچینگ فوق‌العاده شده‌اند. این فناوری‌ها امکان استفاده از دیودها در مدارهای قدرت با راندمان بالا و فرکانس‌های بالا را بهبود داده‌اند (Singh & Lee, 2024).

فناوری‌های نانو همچنین امکان طراحی دیودهای کوچکتر و با مصرف انرژی کمتر را فراهم کرده است که برای کاربردهای اینترنت اشیاء (IoT)، حسگرهای پزشکی و سیستم‌های ارتباطی پیشرفته بسیار مهم هستند (Park et al., 2023). این روند نشان‌دهنده اهمیت تحقیقات چندرشته‌ای و ترکیب علوم مواد، نانوفناوری و مهندسی الکترونیک در توسعه دیودهای پیشرفته است.

نقش دیودها در فناوری‌های آینده

دیودها نقش بنیادینی در شکل‌دهی فناوری‌های پیشرفته آینده دارند. در حوزه انرژی‌های تجدیدپذیر، دیودها به‌ویژه در بهبود کارایی پنل‌های خورشیدی و مدیریت جریان الکتریکی در شبکه‌های هوشمند مورد استفاده قرار می‌گیرند. استفاده از دیودهای پیشرفته مبتنی بر مواد نیمه‌هادی جدید، افزایش بهره‌وری انرژی و کاهش اتلاف توان را در این سیستم‌ها به همراه داشته است (Wang et al., 2023).

همچنین در زمینه اینترنت اشیاء (IoT) و هوش مصنوعی (AI)، دیودها به عنوان اجزای کلیدی در حسگرها، مدارهای سوئیچینگ و پردازشگرهای کم‌مصرف، امکان جمع‌آوری و تحلیل داده‌ها را در زمان واقعی فراهم می‌کنند. توسعه دیودهای هوشمند با قابلیت‌های خودتنظیمی و تشخیص خطا، امنیت و پایداری سیستم‌های الکترونیکی پیشرفته را افزایش داده است (Zhang & Liu, 2024).

در حوزه فناوری کوانتوم، دیودهای فوتونیکی به عنوان عناصر اصلی در سیستم‌های مخابرات کوانتومی و رایانه‌های کوانتومی کاربرد دارند. این پیشرفت‌ها می‌توانند تحولات عظیمی در امنیت اطلاعات و پردازش داده‌ها ایجاد کنند و آینده‌ای متفاوت برای فناوری‌های الکترونیکی رقم بزنند (Wang et al., 2023). بنابراین، دیودها نه تنها در مدارهای سنتی بلکه به عنوان اجزای هوشمند و حیاتی در فناوری‌های پیشرفته آینده شناخته می‌شوند.

نتیجه‌گیری

دیودها به عنوان یکی از قطعات پایه و کلیدی در الکترونیک، نقش بی‌بدیلی در کنترل جریان و حفاظت از مدارهای الکترونیکی ایفا می‌کنند. ساختار ساده اما عملکرد پیچیده این قطعات موجب شده است که دیودها در طیف وسیعی از کاربردها، از جمله یک‌سوکنندگی، تثبیت ولتاژ، سوئیچینگ سریع و سیستم‌های نوری، نقش حیاتی داشته باشند. تنوع گسترده انواع دیودها، از دیودهای اتصال p-n گرفته تا دیودهای پیشرفته نانو و ارگانیک، امکان انتخاب بهینه را برای کاربردهای مختلف فراهم می‌آورد.

پیشرفت‌های نوین در فناوری دیودها، به ویژه استفاده از مواد نیمه‌هادی جدید مانند گرافن، سیلیکون کاربید و دیودهای ارگانیک، باعث افزایش راندمان، دوام و قابلیت عملکرد در شرایط محیطی سخت شده است. این تحولات، دیودها را به گزینه‌ای مناسب برای کاربردهای پوشیدنی، دستگاه‌های پزشکی و فناوری‌های انرژی تبدیل کرده است.

در حوزه فناوری‌های آینده، دیودها به عنوان عناصر کلیدی در توسعه انرژی‌های تجدیدپذیر، اینترنت اشیاء و هوش مصنوعی شناخته می‌شوند. کاربرد دیودهای هوشمند و فوتونیکی در سیستم‌های مخابرات کوانتومی و رایانه‌های کوانتومی نویددهنده تحول عظیمی در امنیت اطلاعات و پردازش داده‌ها است. بنابراین، دیودها نه تنها به عنوان قطعات پایه الکترونیکی، بلکه به عنوان اجزای هوشمند و حیاتی فناوری‌های پیشرفته در آینده نزدیک جایگاه مهمی خواهند داشت.

با توجه به اهمیت روزافزون دیودها در فناوری‌های نوین و آینده، ادامه تحقیقات در زمینه مواد جدید، بهبود عملکرد و کاهش مصرف انرژی این قطعات ضروری است. این روند می‌تواند نقش مهمی در توسعه سیستم‌های الکترونیکی پایدار و هوشمند ایفا کند و راه را برای نسل‌های بعدی فناوری‌های الکترونیکی باز کند.

 

References

Ahmadi, M. (2021). Fundamentals of semiconductors and electronic devices. University of Tehran Press.

Brown, J. (1987). History of semiconductor technology. Journal of Electronic History, 12(3), 45–59.

Chen, M. (2017). High-speed semiconductor devices. Electronics Press.

Garcia, L. (2022). Photodiodes in optical communication systems. Journal of Optoelectronics, 45(2), 123–130.

Hayward, P. (2010). History and advancements of light-emitting diodes. Journal of Optoelectronics, 14(1), 5–15.

Hosseini, A., Rezaei, N., & Sadeghi, F. (2019). Review of diode types and their applications in electronic circuits. Iranian Journal of Electrical Engineering, 12(3), 45–58.

Johnson, R. (2018). Fundamentals of electronics. TechBooks Publishing.

Kelly, M., Roberts, N., & Jones, S. (2005). Improving switching speed in semiconductor diodes. Journal of Electrical Engineering, 20(4), 300–315.

Kim, H., & Choi, S. (2023). Organic and nano-diodes for flexible electronics: Recent advances and applications. Advanced Materials, 35(12), 2100456.

Koon, T., Lo, W., & Wang, F. (2019). Review of fast recovery diodes and their applications. Electronics Technology Journal, 25(1), 55–63.

Kumar, S., & Patel, A. (2021). Applications of LEDs in modern electronics. International Journal of Electronic Devices, 33(4), 210–215.

Lee, J. (2019). Voltage regulation using Zener diodes. Electronics Today, 56(7), 88–92.

Martinez, A., Singh, R., & Zhao, L. (2022). Multi-physics modeling for optimized diode performance in power electronics. IEEE Journal of Emerging and Selected Topics in Power Electronics, 10(1), 65–74.

Park, J., Kim, Y., & Lee, S. (2023). Flexible and wearable semiconductor diodes for next-gen electronics. Materials Science and Engineering: R, 157, 100778.

Russell, P. (2016). Tunnel diodes and their applications in high-frequency electronics. Advanced Electronics Journal, 9(1), 75–82.

Singh, A., & Lee, K. (2024). Wide bandgap semiconductors for high temperature diode applications. IEEE Transactions on Power Electronics, 39(2), 1234–1245.

Smith, T. (2020). Introduction to semiconductor devices. Electronic Engineering Review, 12(1), 45–52.

Snyder, D. (1995). Development of p-n junction diodes and impact on electronics industry. Materials Science Journal, 8(2), 110–122.

Wang, Z., Chen, X., & Liu, Y. (2023). Photonic diodes for quantum communications: A review. Optics Communications, 529, 128715.

Zhang, Q., & Liu, H. (2024). AI-based diagnostic systems for real-time diode monitoring. IEEE Transactions on Industrial Informatics, 20(1), 410–419.

Zhou, X., Chen, Y., & Liu, W. (2021). Thermal diodes: Fundamentals and applications in electronics cooling. Applied Thermal Engineering, 190, 116757.

 

 

 

 

 

 

 

 

 

 

 

 

 

 

 

 

 

 

 

 

 

 

 

 

 

 

 

 

 

 

 

 

 

 

 

 

 

 

 

 

 

 

 

 

 

 

نوشته های اخیر

دسته بندی ها

رمز عبورتان را فراموش کرده‌اید؟

ثبت کلمه عبور خود را فراموش کرده‌اید؟ لطفا شماره همراه یا آدرس ایمیل خودتان را وارد کنید. شما به زودی یک ایمیل یا اس ام اس برای ایجاد کلمه عبور جدید، دریافت خواهید کرد.

بازگشت به بخش ورود

کد دریافتی را وارد نمایید.

بازگشت به بخش ورود

تغییر کلمه عبور

تغییر کلمه عبور

حساب کاربری من

سفارشات

مشاهده سفارش

سبد خرید